Содержание
- 1 Масло растительное в стакане сколько грамм
- 1.1 Сколько растительного масла в стакане (грамм, мл)
- 1.2 Сколько растительного масла в граненом стакане (200 мл)?
- 1.3 Сколько растительного масла в 250 мл стакане (тонком или чайном стакане)?
- 1.4 Сколько подсолнечного масла в стакане (мл, грамм)?
- 1.5 Сколько миллилитров в стакане подсолнечного (растительного) масла?
- 1.6 Сколько грамм подсолнечного масла в стакане?
- 1.7 Таблица мер и весов: что и как отмерить, если нет мерного стаканчика
- 1.8 Таблица мер и весов: что и как отмерить, если нет мерного стаканчика
- 1.9 Измеряем продукты в стакане
- 1.10 Немного о мерах веса в столовой и чайной ложке
- 1.11 Точность — вежливость королей
- 1.12 Отмеряем продукты правильно
- 1.13 Чем заменить
- 1.14 Кулинарная арифметика
- 1.15 Зарубежные меры веса
- 1.16 Сколько грамм в стакане: удобная таблица мер и весов продуктов в граммах
- 1.17 Сыпучие продукты
Масло растительное в стакане сколько грамм
Сколько растительного масла в стакане (грамм, мл)

Растительное масло используется повсеместно для приготовления самых разнообразных блюд, но что делать, если по рецепту требуется определенное количество растительного масла в миллилитрах или граммах, а у Вас нет мерного стакана или весов в доме? В данном случае многих выручает обычный граненый стакан, поэтому рассмотрим подробнее, сколько грамм растительного масла в стакане (200 мл, 250 мл) и как легко отмерить необходимое количество подсолнечного масла по рецепту.
Сколько растительного масла в граненом стакане (200 мл)?
В одном полном граненом стакане растительного масла, наполненного до краев (до каемки) вмещается 250 мл (240 грамм) растительного масла.
В 1 граненом стакане растительного масла, наполненного по риску вмещается 200 мл (190 грамм) растительного масла.
Сколько растительного масла в 250 мл стакане (тонком или чайном стакане)?
В 250 мл стакане вмещается 250 мл (240 грамм) растительного (подсолнечного) масла.
Сколько растительного масла содержится в неполном граненом стакане (в граммах)?
Для расчетов будем использовать полный граненый стакан растительного масла, наполненный до верху (до каемки):
- 3/4 стакана растительного масла – это сколько? 3/4 стакана подсолнечного масла = 180 грамм растительного масла.
- 2/3 стакана растительного масла – это сколько? 2/3 стакана подсолнечного масла = 160 грамм растительного масла.
- 1/2 стакана растительного масла – это сколько? 1/2 стакана подсолнечного масла = 120 грамм растительного масла.
- 1/3 стакана растительного масла – это сколько? 1/3 стакана подсолнечного масла = 80 грамм растительного масла.
- 1/4 стакана растительного масла – это сколько? 1/4 стакана подсолнечного масла = 60 грамм растительного масла.
Ответы на популярные вопросы по теме, как отмерить растительное масло с помощью 200 мл стакана (граненого стакана)
Ниже рассмотрим самые востребованные объемы масла по рецептам, которые можно быстро отмерить с помощью стакана:
- 500 мл растительного масла – это сколько стаканов? 500 мл подсолнечного масла = приблизительно 2 полных стакана растительного масла, наполненных до каемки = точно 2 полных стакана растительного масла, наполненных до каемки + 2 чайных ложки.
- 400 мл растительного масла – это сколько стаканов? 400 мл подсолнечного масла = приблизительно 2 граненых стакана растительного масла, наполненных до риски = точно 2 граненых стакана растительного масла, наполненных до риски + 2 чайных ложки растительного масла.
- 300 мл растительного масла – это сколько стаканов? 300 мл подсолнечного масла = 1 полный стакана растительного масла, наполненных до верху + 4 столовых ложки масла растительного.
- 250 мл растительного масла – это сколько стаканов? 250 мл подсолнечного масла = 1 полных граненый стакана растительного масла, наполненный до каемки + 2 чайных ложки масла растительного.
- 200 мл растительного масла – это сколько стаканов? 200 мл подсолнечного масла = 1 граненый стакан растительного масла, наполненный до риски + 2 чайных ложки масла растительного.
- 150 мл растительного масла – это сколько стаканов? 150 мл подсолнечного масла = 10 столовых ложек растительного масла.
- 120 мл растительного масла – это сколько стаканов? 120 мл подсолнечного масла = 8 столовых ложек растительного масла.
- 100 мл растительного масла – это сколько стаканов? 100 мл подсолнечного масла = 6 столовых ложек масла растительного + 2 чайных ложки растительного масла.
Небольшое количество растительного (подсолнечного, льняного, оливкового) масла удобнее отмерять с помощью столовой и чайной ложек, поэтому советуем ознакомиться со статьей, сколько растительного масла в ложке, а также с подобными обзорами:
В заключение к статье можно отметить, что зная, сколько подсолнечного масла в граненом стакане, можно быстро измерить необходимое его количество в граммах или миллилитрах по рецепту. Свои отзывы и советы по теме, как отмерить подсолнечное масло с помощью стакана, оставляем в комментариях к статье и делимся ей в социальных сетях, если она была Вам полезна.

Главный редактор сайта. Повар, технолог, путешественник. Статья подготовлена одним из наших авторов и прошла проверку редакции, подробнее о нашей команде читаем в разделе: о редакции.
Сколько подсолнечного масла в стакане (мл, грамм)?

Растительное масло, в частности – подсолнечное, как и другие жидкости по любому рецепту с легкостью можно отмерять с помощью стакана, как в граммах, так и в миллилитрах, поэтому ниже рассмотрим подробные расчеты, сколько грамм (г) и миллилитров (мл) подсолнечного масла вмещается в стакане.
На заметку: приведенные ниже расчеты актуальны для всех видов растительного масла (кукурузное, горчичное, оливковое и т.д.), не только подсолнечного.
Сколько миллилитров в стакане подсолнечного (растительного) масла?
- 50 граммовый стакан = 50 мл подсолнечного масла.
- 100 граммовый стакан = 100 мл подсолнечного масла.
- 150 граммовый стакан = 150 мл подсолнечного масла.
- 200 граммовый стакан = 200 мл подсолнечного масла.
- 250 граммовый стакан = 250 мл подсолнечного масла.
- 300 граммовый стакан = 300 мл подсолнечного масла.
- 350 граммовый стакан = 350 мл подсолнечного масла.
Так как наиболее часто в качестве мерного стакана используется обычный граненый стакан (в полном стакане 250 мл, в наполненном до каймы 200 мл) , ниже подготовлены расчеты, сколько миллилитров в неполном граненом стакане (для удобства измерений в рецептах):
- 1/5 стакана подсолнечного масла — это сколько мл? 1/5 стакана подсолнечного масла = 50 мл.
- 1/4 стакана подсолнечного масла — это сколько мл? 1/4 стакана подсолнечного масла = 62,5 мл.
- 1/3 стакана подсолнечного масла — это сколько мл? 1/3 стакана подсолнечного масла = 83,3 мл.
- 1/2 стакана подсолнечного масла — это сколько мл? 1/2 стакана подсолнечного масла = 125 мл.
- 2/3 стакана подсолнечного масла — это сколько мл? 2/3 стакана подсолнечного масла = 166,7 мл.
- 3/4 стакана подсолнечного масла — это сколько мл? 3/4 стакана подсолнечного масла = 187,5 мл.
- 4/5 стакана подсолнечного масла — это сколько мл? 4/5 стакана подсолнечного масла = 200 мл.
В небольших объемах растительное масло рекомендуется отмерять столовой или чайной ложкой, поэтому Вам будет полезен обзор: сколько грамм подсолнечного масла в столовой ложке.
Также сразу рассмотрим, сколько мл растительного или подсолнечного масла в нескольких стаканах (используем полный граненый стакан):
- 2 стакана подсолнечного масла = 500 мл.
- 3 стакана подсолнечного масла = 750 мл.
- 4 стакана подсолнечного масла = 1 000 мл = 1 литр подсолнечного масла.
- 5 стаканов подсолнечного масла = 1 250 мл.
Сколько грамм подсолнечного масла в стакане?
В граненом стакане (объемом 250 мл): наполненном до каёмки (200 мл) = 192 г, в полном (250 мл) = 240 г
Надеемся указанные в обзоре расчеты будут полезны при ежедневном приготовлении любимых блюд и Вам не составит труда отмерить нужное количество растительного масла без специальных мерных стаканов и кухонных весов. Отзывы и советы по теме, сколько в стакане подсолнечного масла мл и грамм, оставляем в комментариях к этой статье.
Сохранить в социальных сетях:

Всем привет! Я Инна — автор статей в этом блоге. Предприимчивая домохозяйка с опытом работы в клининговой компании более 4-х лет. С удовольствием отвечу на все вопросы по теме статей в комментариях! Всегда готова поделиться своими полезными советами!
Интересные статьи по теме:
Таблица мер и весов: что и как отмерить, если нет мерного стаканчика


Таблица мер и весов: что и как отмерить, если нет мерного стаканчика
Опытные хозяйки редко используют на кухне мерный стакан или кухонные весы, поскольку все делают на глаз. Однако некоторые сложные блюда требуют безупречного соблюдения пропорций, например выпечка и десерты. В этом случае можно воспользоваться обычным стаканом или ложкой, как это делали когда-то наши мамы и бабушки. И, между прочим, у них получались тончайшие кружевные блины, румяные пирожки, рассыпчатое печенье и отлично пропеченные нежные бисквиты, которые съедались очень быстро. Меры измерения веса в домашних условиях просты — тонкий и граненый стакан, чайная и столовая ложка. Поговорим о том, какое количество продуктов помещается в этих емкостях.
Измеряем продукты в стакане

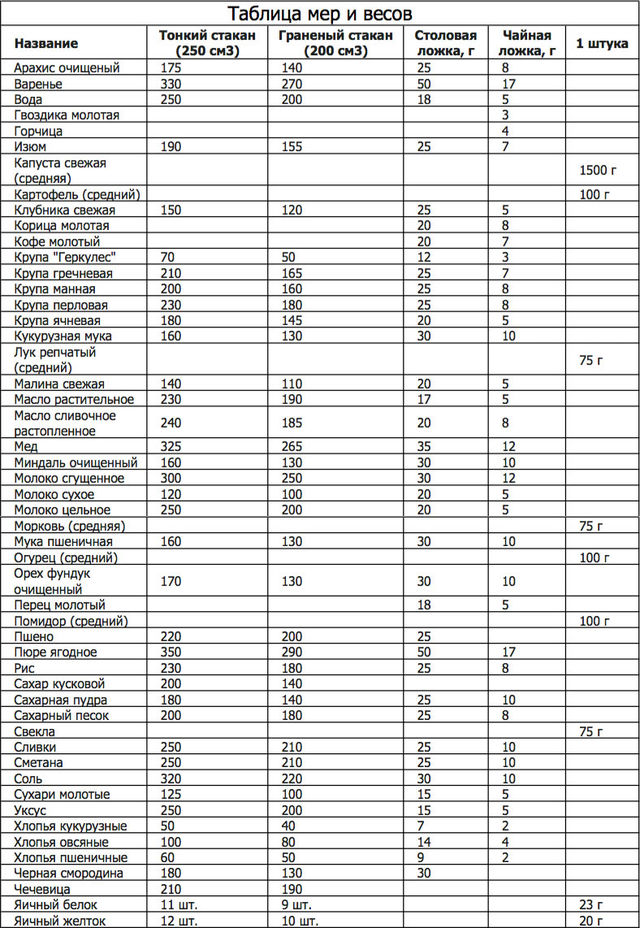
Мера веса в стакане зависит от того, какой вы стакан используете — тонкий или граненый, поскольку они отличаются друг от друга. Граненый стакан имеет объем 200 мл, несколько граней и закругленный ободок. Тонкий стакан — абсолютно гладкий и рассчитан на 250 мл. Жидкости (воду, вино, молоко, сок, сливки) измерять легко, а сыпучие продукты при одинаковом объеме имеют разный вес, что весьма осложняет процесс измерения. Именно для этого и нужна таблица мер веса продуктов — с ней вы никогда не ошибетесь и отмерите ровно столько сахара и муки, сколько требуется для торта или печенья.
Сравнивая продукты, будем указывать количество в граненом (первая цифра) и тонком стакане (вторая цифра). Например, один стакан вмещает 140–175 г пшеничной муки, 180–220 г сахарного песка, 190–230 г растительного масла, 185–240 г растопленного сливочного масла, 250–300 г сгущенного молока и 270–330 г варенья. Что касается круп, то в стакан можно насыпать 70–90 г геркулеса, 170–210 г гречки, 150–200 г манной крупы, 190–230 г риса, гороха, фасоли, пшена, перловки, ячневой крупы и мелких макарон. Сюда поместятся 130–140 г толченых орехов, 130–160 цельного миндаля и фундука, 265–325 г меда, 210–250 г сметаны, 250–300 г томатной пасты и 100–125 г молотых сухарей.
Немного о мерах веса в столовой и чайной ложке

Трудно представить, как можно отмерять ложками пять стаканов муки или литр молока, поэтому эти столовые приборы подходят для того, чтобы отмерить небольшое количество продуктов. Например, если вам нужно совсем немного муки для приготовления воздушных пирожных, соуса бешамель, овощных, мясных или рыбных котлет, вы можете воспользоваться чайной или столовой ложкой.
Одна столовая ложка — это 18 г жидкости, 25 г геркулеса, сахара, манки, гречки, перловки, пшена и риса. Вы можете вполне рассчитывать на то, что в ложке поместится 17 г растительного или растопленного сливочного масла, 30 г муки, соли и молотых орехов, 25 г сметаны и какао-порошка, 20 г сухого молока, 30 г крахмала и меда. Молотых сухарей получится всего 15 г, зато столовой ложкой можно зачерпнуть 50 г варенья. Миниатюрной чайной ложкой у вас получится отмерить 10 г сахара, крахмала и сметаны, 8 г муки, 9 г какао, 7 г меда, 5 г растительного масла и молока. В чайную ложку также помещается 10 г ореховых ядер, 17 г варенья, около 5 г круп и гороха, 2–4 г зерновых хлопьев.
Точность — вежливость королей

Для измерения меры веса продуктов без весов нужно соблюдать некоторые правила, которые помогут вам строго соблюдать рецептуру. Для приготовления закусок, супов, основных блюд и гарниров это не так критично. Однако в некоторых случаях, например при выпечке хлеба, неправильное соотношение жидкости и муки может привести к замедлению брожения. При недостатке влаги тесто плохо поднимается, а хлеб имеет сухую крошащуюся текстуру. Если влаги, наоборот, слишком много, выпечка получается тяжелой, расплывшейся, с сырым и липким мякишем.
Отмеряем продукты правильно

Как правильно использовать домашние меры веса? Жидкими продуктами следует наполнять емкости до предела, то есть до самых краев. Вязкие и густые смеси (мед, варенье, сметану) удобнее накладывать ложкой, следя, чтобы стакан был полностью заполнен. Наполняйте емкости сыпучими и вязкими продуктами с горкой, а муку и крахмал не зачерпывайте прямо из пакета или мешка, а насыпайте ложкой, чтобы не образовывались пустоты. Не нужно трясти, рыхлить и утрамбовывать продукты, а если вам нужно просеять муку, делайте это после измерений. Дело в том, что при просеивании мука становится более объемной, а значит, изменится и ее вес. Для сравнения: тонкий стакан содержит 160 г муки при правильном наполнении, 210 г утрамбованной муки и 125 г просеянной муки. Изменение характеристик продуктов также влияет на их вес — к примеру, повышение влажности делает соль, сахар и муку тяжелее, а забродившая сметана легче свежей.
Чем заменить

Если у вас нет чайного и граненого стакана, возьмите любую емкость, измерьте ее объем с помощью точных кухонных весов и отметьте линию, где будет объем 200 или 250 мл. В кулинарных целях можно использовать и стандартные пластиковые стаканчики вместимостью 200 мл. Обычно в рецептах вместо словосочетания «чайный стакан» пишут просто «стакан» или «чашка», что означает 250 мл. Если мерой весов служит граненый стакан, то в рецептуре это будет непременно указано.
Кулинарная арифметика

Нет необходимости держать в голове десятки цифр, чтобы приготовить вкусное блюдо и не сойти с ума от математических расчетов. Достаточно иметь на кухне таблицу меры веса в ложках и стаканах. Если вы видите в рецепте указание взять половину или четверть стакана какого-то продукта, например сахара, то, имея таблицу, вы легко переведете это количество в другие меры. Например, в четверти граненого стакана содержится 45 г сахара, а это 2 ст. л. сахара без горки или 5,5 ч. л. Интересно, что 1 ст. л. соответствует 3 ч. л., а десертная ложка — это 2 ч. л. Один тонкий стакан вмещает 16 ст. л. жидких, густых и сыпучих продуктов.
Зарубежные меры веса

Если вы любите готовить по рецептам зарубежной кухни, то можете столкнуться с незнакомыми мерами веса, поэтому эта информация пригодится на кухне. Американская чашка — это наш тонкий стакан, то есть 250 г, а английская чашка соответствует 280 г. Пинта составляет 470 г, унция — 30 г, а кварта «весит» 950 г.
Говорят, что секрет кулинарного мастерства — это вдохновение и точность, поэтому правильная дозировка ингредиентов составляет половину успеха. Если вы хотите облегчить себе жизнь и свести к минимуму сложную арифметику, купите универсальный мерный стаканчик объемом 500 мл с делениями для жидких и сыпучих продуктов. Радуйте близких людей вкусной едой и наслаждайтесь сами!
Сколько грамм в стакане: удобная таблица мер и весов продуктов в граммах
При приготовлении практически любого блюда мы отмеряем количество необходимых ингредиентов привычными для нас способами, будь то стакан, чашка или ложка. И все бы ничего, да только стаканы и чашки не у всех одинаковы, да и во многих рецептах указан вес нужного продукта в граммах.
В таких случаях незаменимой вещью является мерный стакан, на котором указано и количество миллилитров для разного рода жидкостей, и вес в граммах для сухих продуктов. Даже при наличии этого полезного кухонного прибора не помешает знать объем посуды, наиболее часто используемой при приготовлении еды.
В чайную ложку помещается 5 мл воды, столовая ложка в три раза больше, то есть 15 мл; привычный для всех граненый стакан, который также называют «сталинским» или «советским», бывает двух видов – с гладким ободком и без него. Стакан с ободком считается чайным, поскольку именно в нем проводницы в поездах разносили чай по вагону, объем этого стакана – 250 мл; такой же стакан, но без ободка – 200 мл.
Важно помнить, что объем посуды не всегда равен весу продукта. Для примерных данных полезной может оказаться таблица мер и весов продуктов. В граммах многие сухие продукты весят гораздо меньше, чем их объем в миллилитрах.
Расположенные ниже таблицы предлагают весовой эквивалент объема в граммах, разбивая пищевые продукты на удобные подкатегории.
![]()
Примечание: Таблица мер и весов продуктов в граммах разработана с учетом наполнения посуды следующим образом:
- ложка – с небольшой горкой;
- стакан – до краев;
- банка – до горлышка.
Сыпучие продукты
К данному типу относятся крупы, сахар, соль, мука и некоторые другие. Таблица меры веса сыпучих продуктов предлагает основные способы замера – ложку и стакан, разделяя их на несколько видов, соответственно объему. Для удобства приготовления больших порций были добавлены банки объемом в пол-литра и литр.
![]()
Всегда внимательно читайте рецепт – одна чашка муки не означает 200 г муки, даже если ваша чашка немного больше, чем 200 мл. Помните о том, что в «сталинском» чайном стакане, наполненном до краев, всего лишь 160 г муки.
Примечание: Если под рукой на вашей кухне нет традиционного граненого стакана, то его можно заменить пластиковым. Стандартный прозрачный одноразовый стакан из полипропилена вмещает в себя ровно 200 мл воды.
Источники:
http://infoeda.com/skolko-rastitelnogo-masla-v-stakane-gramm-ml.html
http://pronakip.com/skolko-podsolnechnogo-masla-v-stakane-ml-gramm/
http://www.edimdoma.ru/kulinarnaya_shkola/posts/19141-tablitsa-mer-i-vesov-chto-i-kak-otmerit-esli-net-mernogo-stakanchika
http://fb.ru/article/183121/skolko-gramm-v-stakane-udobnaya-tablitsa-mer-i-vesov-produktov-v-grammah
